Content from Python Fundamentals
Last updated on 2025-10-13 | Edit this page
Overview
Questions
- “What basic data types can I work with in Python?”
- “How can I create a new variable in Python?”
- “Can I change the value associated with a variable after I create it?”
- “How do I use a function?”
Objectives
- “Perform simple calculations.”
- “Assign values to variables.”
- “Understand the difference between int, float and str data types.”
- “Use the print and type built-in functions.”
Variables
Python can be used as a calculator:
OUTPUT
23
This is great but not very interesting. To do anything useful with
data, we need to assign its value to a variable. In Python, we
can assign a value to a variable using the equals sign
=. For example, we can track the weight of a patient who
weighs 60 kilograms by assigning the value 60 to a variable
weight_kg:
From now on, whenever we use weight_kg, Python will
substitute the value we assigned to it. In layperson’s terms, a
variable is a name for a value.
In Python, variable names:
- can include letters, digits, and underscores
- cannot start with a digit
- are case sensitive.
This means that, for example:
-
weight0is a valid variable name, whereas0weightis not -
weightandWeightare different variables
Types of data
Python knows various types of data. Three common ones are:
- integer numbers
- floating point numbers, and
- strings.
In the example above, variable weight_kg has an integer
value of 60. If we want to more precisely track the weight
of our patient, we can use a floating point value by executing:
To create a string, we add single or double quotes around some text. To identify and track a patient throughout our study, we can assign each person a unique identifier by storing it in a string:
Using Variables in Python
Once we have data stored with variable names, we can make use of it in calculations. We may want to store our patient’s weight in pounds as well as kilograms:
We might decide to add a prefix to our patient identifier:
Built-in Python functions
To carry out common tasks with data and variables in Python, the
language provides us with several built-in functions. To display information to
the screen, we use the print function:
OUTPUT
132.66
inflam_001
When we want to make use of a function, referred to as calling the
function, we follow its name by parentheses. The parentheses are
important: if you leave them off, the function doesn’t actually run!
Sometimes you will include values or variables inside the parentheses
for the function to use. In the case of print, we use the
parentheses to tell the function what value we want to display. We will
learn more about how functions work in later episodes.
We can display multiple things at once using only one
print call:
OUTPUT
inflam_001 weight in kilograms: 60.3
We can also call a function inside of another function call. For example,
Python has a built-in function called type that tells you a
value’s data type:
OUTPUT
<class 'float'>
<class 'str'>
Moreover, we can do arithmetic with variables right inside the
print function:
OUTPUT
weight in pounds: 132.66
The above command, however, did not change the value of
weight_kg:
OUTPUT
60.3
To change the value of the weight_kg variable, we have
to assign weight_kg a new value using the
equals = sign:
OUTPUT
weight in kilograms is now: 65.0
Variables as Sticky Notes
A variable in Python is analogous to a sticky note with a name written on it: assigning a value to a variable is like putting that sticky note on a particular value.
Using this analogy, we can investigate how assigning a value to one variable does not change values of other, seemingly related, variables. For example, let’s store the subject’s weight in pounds in its own variable:
PYTHON
# There are 2.2 pounds per kilogram
weight_lb = 2.2 * weight_kg
print('weight in kilograms:', weight_kg, 'and in pounds:', weight_lb)
OUTPUT
weight in kilograms: 65.0 and in pounds: 143.0
Similar to above, the expression 2.2 * weight_kg is
evaluated to 143.0, and then this value is assigned to the
variable weight_lb (i.e. the sticky note
weight_lb is placed on 143.0). At this point,
each variable is “stuck” to completely distinct and unrelated
values.
Let’s now change weight_kg:
PYTHON
weight_kg = 100.0
print('weight in kilograms is now:', weight_kg, 'and weight in pounds is still:', weight_lb)
OUTPUT
weight in kilograms is now: 100.0 and weight in pounds is still: 143.0
Since weight_lb doesn’t “remember” where its value comes
from, it is not updated when we change weight_kg.
Comments in Python
Everything in a line of code following the ‘#’ symbol is a comment that is ignored by Python. Comments allow programmers to leave explanatory notes for other programmers or their future selves.
OUTPUT
`mass` holds a value of 47.5, `age` does not exist
`mass` still holds a value of 47.5, `age` holds a value of 122
`mass` now has a value of 95.0, `age`'s value is still 122
`mass` still has a value of 95.0, `age` now holds 102
- “Basic data types in Python include integers, strings, and floating-point numbers.”
- “Use
variable = valueto assign a value to a variable in order to record it in memory.” - “Variables are created on demand whenever a value is assigned to them.”
- “Use
print(something)to display the value ofsomething.” - Functions take zero or more parameters that send a value or variable to the code in the function to use.
- “Built-in functions are always available to use.”
Content from Loading and Analyzing Argo Float Data
Last updated on 2025-10-14 | Edit this page
Overview
Questions
- “How can I process tabular data files in Python?”
Objectives
- “Explain what a library is and what libraries are used for.”
- “Import a Python library and use the functions it contains.”
- “Read tabular data from a file into a program.”
- “Select individual values and subsections from data.”
- “Perform operations on arrays of data.”
Words are useful, but what’s more useful are the sentences and stories we build with them. Similarly, while a lot of powerful, general tools are built into Python, specialized tools built up from these basic units live in libraries that can be called upon when needed.
Loading data into Python
To begin processing the Argo data, we need to load it into Python. We can do that using a library called NumPy, which stands for Numerical Python. In general, you should use this library when you want to do fancy things with lots of numbers, especially if you have matrices or arrays. To tell Python that we’d like to start using NumPy, we need to import it:
Importing a library is like getting a piece of lab equipment out of a storage locker and setting it up on the bench. Libraries provide additional functionality to the basic Python package, much like a new piece of equipment adds functionality to a lab space. Just like in the lab, importing too many libraries can sometimes complicate and slow down your programs - so we only import what we need for each program.
Before we load any data it can be helpful to tell NumPy not to print
all the lines in our data since some of our data is quite big and we
probably don’t want to see every line of it. NumPy includes
a function called set_printoptions which we can use to tell
NumPy how many lines of our data to show.
Functions, Parameters and Return Values
- In the last episode we looked at using the
printandtypefunctions which are built into Python. - We “call” a function by writing its name followed by a
(, then we can give the values of any parameters that the function might need. If there is more than one of these we separate each of them with a comma. Finally we write a closing)to end the function call.
- Parameters have to be given in the order the function expects them.
Alternatively we can put a name in front of each paraemter followed by
an
=sign and the parameter value or the name of the variable we are sending.
- Functions can also send data back to the code which called them, this is known as “returning” data from a function.
- We can save this return data into a variable to use it again later. If we don’t save it into a variable then its value is displayed on the screen.
- When we import a library like
NumpPymore functions become available to us.
Once we’ve imported the NumpPy library, we can ask it to
read our data file for us:
But this gives us a FileNotFoundError because we don’t have a file
called argo_data.csv yet.
OUTPUT
---------------------------------------------------------------------------
FileNotFoundError Traceback (most recent call last)
Cell In[3], line 1
----> 1 numpy.loadtxt(fname='argo_data2.csv', delimiter=',', skiprows=1)
...
This file is available from https://raw.githubusercontent.com/NOC-OI/python-for-future-oceanographers/refs/heads/main/data/argo_data.csv.
We can download this using the external command wget.
This is not part of Python and we can tell Jupyter to run it by starting
the cell with an !.
PYTHON
!wget https://raw.githubusercontent.com/NOC-OI/python-for-future-oceanographers/refs/heads/main/data/argo_data.csv
Or we can change the filename to the full web address and Numpy will get the file from the Internet for us.
PYTHON
numpy.loadtxt(fname='https://raw.githubusercontent.com/NOC-OI/python-for-future-oceanographers/refs/heads/main/data/argo_data.csv', delimiter=',', skiprows=1)
OUTPUT
array([[0.0000000e+00, 3.5025002e+01, 2.8898001e+01, 3.0000000e+00],
[1.0000000e+00, 3.5026001e+01, 2.8898001e+01, 4.0000000e+00],
[2.0000000e+00, 3.5026001e+01, 2.8896000e+01, 5.0000000e+00],
...,
[1.0500000e+02, 3.4988998e+01, 3.7710000e+00, 1.9380000e+03],
[1.0600000e+02, 3.4987999e+01, 3.7340000e+00, 1.9630000e+03],
[1.0700000e+02, 3.4987999e+01, 3.6930000e+00, 1.9890000e+03]])
The expression numpy.loadtxt(...) is a function call that asks Python
to run the function
loadtxt which belongs to the numpy library.
The dot notation in Python is used most of all as an object
attribute/property specifier or for invoking its method.
object.property will give you the object.property value,
object_name.method() will invoke an object_name method.
As an example, John Smith is the John that belongs to the Smith
family. We could use the dot notation to write his name
smith.john, just as loadtxt is a function that
belongs to the numpy library.
numpy.loadtxt has two parameters: the name of the file we
want to read and the delimiter
that separates values on a line. These both need to be character strings
(or strings for short), so we put
them in quotes. Notice that we also had to tell NumPy to skip the first
row, which contains the column titles.
Since we haven’t told it to do anything else with the function’s
output, the notebook displays it.
In this case, that output is the data we just loaded. By default, only a
few rows and columns are shown (with ... to omit elements
when displaying big arrays). Note that, to save space when displaying
NumPy arrays, Python does not show us trailing zeros, so
1.0 becomes 1..
Our call to numpy.loadtxt read our file but didn’t save
the data in memory. To do that, we need to assign the array to a
variable. In a similar manner to how we assign a single value to a
variable, we can also assign an array of values to a variable using the
same syntax. Let’s re-run numpy.loadtxt and save the
returned data:
This statement doesn’t produce any output because we’ve assigned the
output to the variable data. If we want to check that the
data have been loaded, we can print the variable’s value:
OUTPUT
[[0.0000000e+00 3.5025002e+01 2.8898001e+01 3.0000000e+00]
[1.0000000e+00 3.5026001e+01 2.8898001e+01 4.0000000e+00]
[2.0000000e+00 3.5026001e+01 2.8896000e+01 5.0000000e+00]
...
[1.0500000e+02 3.4988998e+01 3.7710000e+00 1.9380000e+03]
[1.0600000e+02 3.4987999e+01 3.7340000e+00 1.9630000e+03]
[1.0700000e+02 3.4987999e+01 3.6930000e+00 1.9890000e+03]]
Now that the data are in memory, we can manipulate them. First, let’s
ask what type of thing
data refers to:
OUTPUT
<class 'numpy.ndarray'>
The output tells us that data currently refers to a
NumPy array, the functionality for which is provided by the NumPy
library. These data correspond to Argo float data. Each row represents
one reading and the columns are the different data values.
Data Type
A Numpy array contains one or more elements of the same type. The
type function will only tell you that a variable is a NumPy
array but won’t tell you the type of thing inside the array. We can find
out the type of the data contained in the NumPy array.
OUTPUT
float64
This tells us that the NumPy array’s elements are floating-point numbers.
With the following command, we can see the array’s shape:
OUTPUT
(108, 4)
The output tells us that the data array variable
contains 108 rows and 4 columns (sequence number, conductivity/salinity,
temperature and pressure/depth).
If we want to get a single number from the array, we must provide an index in square brackets after the variable name, just as we do in math when referring to an element of a matrix. Our data has two dimensions, so we will need to use two indices to refer to one specific value:
OUTPUT
first value in data: 28.898001
OUTPUT
middle value in data: 9.876
The expression data[53, 2] accesses the element at the
54th row and 3rd column not the 53rd row and 2nd column as you might
think. Programming languages like Fortran, MATLAB and R start counting
at 1 because that’s what human beings have done for thousands of years.
Languages in the C family (including C++, Java, Perl, and Python) count
from 0 because it represents an offset from the first value in the array
(the second value is offset by one index from the first value). This is
closer to the way that computers represent arrays (if you are interested
in the historical reasons behind counting indices from zero, you can
read Mike
Hoye’s blog post). As a result, if we have an M×N array in Python,
its indices go from 0 to M-1 on the first axis and 0 to N-1 on the
second. It takes a bit of getting used to, but one way to remember the
rule is that the index is how many steps we have to take from the start
to get the item we want.
In the Corner
What may also surprise you is that when Python displays an array, it
shows the element with index [0, 0] in the upper left
corner rather than the lower left. This is consistent with the way
mathematicians draw matrices but different from the Cartesian
coordinates. The indices are (row, column) instead of (column, row) for
the same reason, which can be confusing when plotting data.
Explore the data
If you haven’t already, download the data we have been using with the
wget command:
!wget https://raw.githubusercontent.com/NOC-OI/python-for-future-oceanographers/refs/heads/main/data/argo_data.csv
You should then see a file called argo_data.csv appear
in the file manager on the left hand side of your screen. Click on this
file and open it.
What values do columns 1, 2 and 3 represent?
Now load the data using NumPy and write some Python code to read from the data. What is the temperature on the last row of the data?
Column 1 is salinity, column 2 is temperature and column 3 is pressure.
We can find the final temperature value on row 107, column 2 (counting from zero).
PYTHON
import numpy
data = numpy.loadtxt(fname="argo_data.csv", delimiter=',', skiprows=1)
#there are 108 rows to the data, so row number 107 is the last one because we started from 0
print(data[107,2])
The temperature value on the last row is 3.693 degrees celcius.
Slicing data
An index like [53, 2] selects a single element of an
array, but we can select whole sections as well. For example, we can
select the Argo data for the first five readings like this:
OUTPUT
[[ 0. 35.025002 28.898001 3. ]
[ 1. 35.026001 28.898001 4. ]
[ 2. 35.026001 28.896 5. ]
[ 3. 35.025002 28.893 6. ]
[ 4. 35.025002 28.892 7. ]]
The slice 0:5 means,
“Start at index 0 and go up to, but not including, index 5”. Again, the
up-to-but-not-including takes a bit of getting used to, but the rule is
that the difference between the upper and lower bounds is the number of
values in the slice.
We don’t have to start slices at 0:
OUTPUT
[[35.027 28.896 8. ]
[35.025002 28.902 9. ]
[35.026001 28.900999 10. ]
[35.027 28.907 16. ]
[35.549999 28.858999 26. ]]
We also don’t have to include the upper and lower bound on the slice. If we don’t include the lower bound, Python uses 0 by default; if we don’t include the upper, the slice runs to the end of the axis, and if we don’t include either (i.e., if we use ‘:’ on its own), the slice includes everything:
The above example selects rows 0 through 4 and columns 1 through to the end of the array (which gives us the salinity, temperature and depth).
OUTPUT
data from first five readings is:
[[35.025002 28.898001 3. ]
[35.026001 28.898001 4. ]
[35.026001 28.896 5. ]
[35.025002 28.893 6. ]
[35.025002 28.892 7. ]]
Slicing Strings
A section of an array is called a slice. We can take slices of character strings as well:
PYTHON
element = 'oxygen'
print('first three characters:', element[0:3])
print('last three characters:', element[3:6])
OUTPUT
first three characters: oxy
last three characters: gen
What is the value of element[:4]? What about
element[4:]? Or element[:]?
OUTPUT
oxyg
en
oxygen
Not All Functions Have Input
Generally, a function uses inputs to produce outputs. However, some
functions produce outputs without needing any input. These functions
don’t need any parameters, so we just write () after the
function name.
For example, checking the current time doesn’t require any input.
OUTPUT
Sat Mar 26 13:07:33 2016
We still need parentheses (()) to tell Python to go and
do something for us.
Loading data with ArgoPy
Instead of passing around spreadsheets or CSV files of data, all of
the data recorded by Argo floats is sent to a Data Assembly Centre
(DAC). After some checks of the data have been made it is sent to a
Global Data Assembly Centre (GDAC). There are two of these, one in the
USA and one in France, but they both hold a copy of all of the Argo data
ever received. To make accessing the data easy from Python a special
library called argopy has been developed. This can load
data directly from one of the GDACs and turn it into a Numpy array. This
saves us having to search through the GDAC, picking the data we want and
downloading it to a file on our computer.
The argopy library has a lot of different features, but
we want to use the DataFetcher function which gets data
from a GDAC. The ArgoDataFetcher will return something
called a class that has more functions we can call. One of these is
called profile and that gets an individual profile given a
float number and a profile number. The data we’ve been using came from
profile 12 of float number 6902746.
If we run the profile function with the float number and profile
number we get back a datafetcher.erddap object.
OUTPUT
<datafetcher.erddap>
Name: Ifremer erddap Argo data fetcher for floats
API: https://erddap.ifremer.fr/erddap/
Domain: phy;WMO6902746
Performances: cache=False, parallel=False
User mode: standard
Dataset: phy
This doesn’t contain much useful data, although it does tell us which
GDAC supplied the data. To get the actual data we need to call yet
another function that the datafetcher.erdapp object
provides called to_xarray. This gets the data ready for
processing using another library called Xarray, which works well with
Numpy data but is very good at working with really big datasets.
Now we get a lot more information including a list of what data
variables this float has. To get one of those we add its name to the end
of the command; for example, to get temperature we add
.TEMP.
Now we have something which just looks like real data. However one
last thing, the type of this data is xarray.DataArray not
numpy.ndarray. To do that final conversion we add
.values on the end (note that there’s no brackets on this
as this is a variable name not a function).
Let’s capture this into a variable called temp_data and
check it’s type.
and now we have a Numpy array with our temperature data.
OUTPUT
numpy.ndarray
This should be the same as the 3rd (2nd if you count from zero!) column of our earlier data. Let’s do a basic check of this by comparing the mean values.
print(temp_data.mean())
print(data[:,2].mean())
OUTPUT
13.058639
13.058638888888888
The values are slightly differnent because when they got saved into the CSV file they got rounded a little bit.
Analyzing data
NumPy has several useful functions that take an array as input to
perform operations on its values. If we want to find the average of all
our Argo float data, for example, we can ask NumPy to compute
data’s mean value:
OUTPUT
219.47419444212963
mean is a function
that takes an array as an argument. Given that our array
contains the sequence numbers and three different data variables taking
the mean of the whole array doesn’t really make much sense.
We can use slicing to calculate the mean temperature from our dive:
OUTPUT
13.058638888888888
Let’s use two other NumPy functions to get some descriptive values about the temperature range.
PYTHON
maxval = numpy.max(data[:,2])
minval = numpy.min(data[:,2])
print('Max temperature:', maxval)
print('Min temperature:', minval)
Here we’ve assigned the return value from
numpy.max(data[:,2]) to the variable maxval
and the value from numpy.min(data[:,2]) to
minval. Note that we used maxval, rather than
just max - it’s not good practice to use variable names
that are the same as Python
keywords or fuction names.
OUTPUT
Max temperature: 28.907
Min temperature: 3.693
Getting help on functions
How did we know what functions NumPy has and how to use them? If you
are working in IPython or in a Jupyter Notebook, there is an easy way to
find out. If you type the name of something followed by a dot, then you
can use tab completion
(e.g. type numpy. and then press Tab) to see a
list of all functions and attributes that you can use. After selecting
one, you can also add a question mark (e.g. numpy.abs?),
and IPython will return an explanation of the method! This is the same
as doing help(numpy.abs).
Find the temperature range for an Arctic float
The float 5906983 has been deployed in the Arctic by NOC for the MetOffice. You can see a map of where it’s been at https://fleetmonitoring.euro-argo.eu/float/5906983.
Adapt the code above to load profile number 33 from float 5906983. Calculate it’s minimum, maximum, mean and median temperature.
We haven’t calculated median before, search on the internet or look at the NumPy documentation (https://numpy.org/devdocs/reference/routines.statistics.html) to find out how to calculate this.
PYTHON
temperatures = argopy.DataFetcher().profile(5906983, 33).to_xarray().TEMP.values
maxval = numpy.max(temperatures)
minval = numpy.min(temperatures)
meanval = numpy.mean(temperatures)
medianval = numpy.median(temperatures)
print('Max temperature:', maxval)
print('Min temperature:', minval)
print('Mean Temperature:', meanval)
print('Median Temperature:', medianval)
OUTPUT
Max temperature: 7.463699817657471
Min temperature: -0.6674000024795532
Mean Temperature: 2.9974963312872487
Median Temperature: 3.9305999279022217
- “Import a library into a program using
import libraryname.” - “Use the
numpylibrary to work with arrays in Python.” - “The expression
array.shapegives the shape of an array.” - “Use
array[x, y]to select a single element from a 2D array.” - “Array indices start at 0, not 1.”
- “Use
low:highto specify aslicethat includes the indices fromlowtohigh-1.” - “Use
numpy.mean(array),numpy.max(array), andnumpy.min(array)to calculate simple statistics.” - “The
argopylibrary can load Argo float data over the internet from the GDAC”
Content from Visualizing Argo Data
Last updated on 2025-10-07 | Edit this page
Overview
Questions
- “How can I visualize tabular data in Python?”
- “How can I group several plots together?”
Objectives
- “Plot simple graphs from data.”
- “Plot multiple graphs in a single figure.”
- “Use Argopy’s plotting functions.”
Visualizing data
The mathematician Richard Hamming once said, “The purpose of
computing is insight, not numbers,” and the best way to develop insight
is often to visualize data. Visualization deserves an entire lecture of
its own, but we can explore a few features of Python’s
matplotlib library here. While there is no official
plotting library, matplotlib is the de facto
standard. First, we will import the pyplot module from
matplotlib and use two of its functions to create and
display a line graph of our data:
Ensuring we have Loaded the Data
Let’s load some temperature, pressure and salinity data with Argopy.
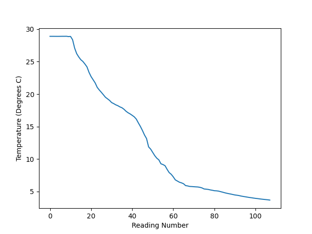
Graphing Temperature Data
Let’s use the Matplotlib library to plot this data. We’ll need to
import from the matplotlib.pyplot library. We can then use
pyplot’s plot function to plot the temperature data.

The X axis corresponds to each row in the data and the Y axis is temperature in degrees celcius.
Graphing Salinity Data
Now let’s take a look at the pressure and salinity during our Argo float’s dive.

Adding Labels to a Graph
It’s good practice to add axes labels to our graphs, these can be
done with the xlabel and ylabel functions in
matplolib.pyplot.
PYTHON
matplotlib.pyplot.ylabel("Temperature (Degrees C)")
matplotlib.pyplot.xlabel("Reading Number")
temperature_plot = matplotlib.pyplot.plot(temperature)

Importing libraries with shortcuts
So far we use have used the code
import matplotlib.pyplot syntax to import the
pyplot module of matplotlib. An alternative
method for importing is to use
import matplotlib.pyplot as plt. Importing
pyplot this way means that after the initial import, rather
than writing matplotlib.pyplot.plot(...), you can now write
plt.plot(...). Another common convention is to use the
shortcut import numpy as np when importing the NumPy
library. We then can write np.loadtxt(...) instead of
numpy.loadtxt(...), for example.
Some people prefer these shortcuts as it is quicker to type and
results in shorter lines of code - especially for libraries with long
names! You will frequently see Python code online using a
pyplot function with plt, or a NumPy function
with np, and it’s because they’ve used this shortcut. It
makes no difference which approach you choose to take, but you must be
consistent as if you use import matplotlib.pyplot as plt
then matplotlib.pyplot.plot(...) will not work, and you
must use plt.plot(...) instead. Because of this, when
working with other people it is important you agree on how libraries are
imported. From this point onwards this lesson uses plt to
mean matplotlib.pyplot.
Plot the pressure data
Create a plot showing the pressure (depth) across a Argo profile.
Saving Plots
We can call the savefig function to store the plot as a
graphics file. This can be a convenient way to store your plots for use
in other documents, web pages etc. The graphics format is automatically
determined by Matplotlib from the file name ending we specify; here the
format is PNG from ‘argo6902746-profile12-temperature.png’. Matplotlib
supports many different graphics formats, including SVG, PDF, and
JPEG.
PYTHON
matplotlib.pyplot.ylabel("Temperature (Degrees C)")
matplotlib.pyplot.xlabel("Reading Number")
temperature_plot = matplotlib.pyplot.plot(temperature)
matplotlib.pyplot.savefig("argo6902746-profile12-temperature.png")

Plot using Argopy
Instead of calling functions in Matplotlib we can also call some plotting functions within Argopy (and these will call Matplotlib for us). This offers two advantages:
- we don’t need to import matplolib ourselves.
- there are some Argo specific plots available within Argopy.
Plotting a Map of Where our Float has Travelled
One of the plots that Argopy can generate is a map showing the position of the float every time it surfaced.
PYTHON
float_data = argopy.DataFetcher().float(6902746).load()
argopy.plot.scatter_map(float_data.index, set_global=False)

You can also see the same data on an interactive map at https://fleetmonitoring.euro-argo.eu/float/6902746. For some reason the data returned by ArgoPy for this float is limted to the first 118 profiles and there are a few more after that being shown on the fleetmonitoring website.
Plotting Temperature Across Multiple Profiles
Another useful feature of the Argopy library is that it can plot data
from multiple Argo profiles (dives). This can be done by supplying a
whole Xarray dataset for all our profiles; we can extract this from the
float_data object we got earlier by calling the
to_xarray() function on it. This can be passed to the
scatter_plot function in Argopy. We also have to give it
the variable name which is “TEMP” (or “PSAL” for salinity). This plot
uses colour to show the temperature and puts depth/pressure on the y
axis and date on the x axis.

Find Another Float to Plot
Pick a different float to load some data from. You can find a list of recently launched UK floats at https://fleetmonitoring.euro-argo.eu/dashboard?Status=Active&Year%20of%20deployment=2025&Country=United%20Kingdom&Network=CORE
Float numbers 7902230, 1902114, 1902725, 1902724, 1902109, 1902111, 1902110, 1902112, 4903834, 4903656, 6990513 or 2903943 could all be good contenders. Some floats will not work because they are missing data and you will ValueError, if this happens try a different float.
Create a new notebook with the following graphs for your float:
- A map showing where it has been
- A scatter plot of temperature against depth over time
- A scatter plot of salinity against depth over time
If you have time add some description about each graph by creating a cell with the Markdown type. Look at https://www.markdownguide.org/basic-syntax/ to see some of the syntax you can use with markdown.
- “Use the
pyplotmodule from thematplotliblibrary for creating simple visualisations.” - “We can give imported modules a short name by using the
askeyword after the import.” - “Argopy has its own built in visaulisation functions”